近日,中國科學院合肥物質院強磁場中心低功耗量子材料團隊聯合中國科學技術大學、南方科技大學團隊,依托穩態強磁場實驗裝置所屬水冷磁體WM5,利用強磁場在弱拓撲絕緣體中成功構建出理想一維外爾半金屬相,并觀測到由該相特有熱電轉換機制導致的巨大能斯特平臺。相關研究成果《Observation of Giant Nernst Plateau in Ideal 1D Weyl Phase》發表于美國物理學會期刊Physical Review Letters上。

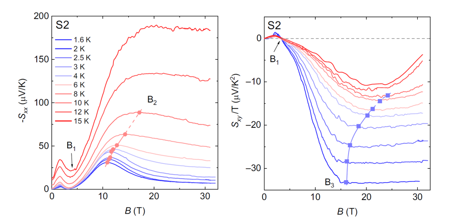
圖1. 弱拓撲絕緣體HfTe5強磁場下塞貝克效應和能斯特效應的測量結果
反常能斯特效應是一類典型的橫向熱電效應,其能斯特信號會在磁場下形成平臺。理論研究表明,源于自旋軌道耦合布洛赫電子能帶的大貝里曲率能夠產生顯著的反常能斯特效應。基于這一機制,人們已在三維磁性外爾半金屬中觀測到顯著的能斯特平臺。盡管取得這些進展,能斯特平臺的幅度仍然比縱向熱電效應弱多個數量級。因此,探索能夠顯著提升能斯特平臺幅度的新型熱電轉換機制具有重要意義。

圖2. 理想一維外爾態中的巨大能斯特平臺
該研究團隊另辟蹊徑,在強磁場條件下發現了一種全新的熱電轉換機制。通過對弱拓撲絕緣體五碲化鉿(HfTe?)在0–33 T強磁場下的塞貝克效應和能斯特效應進行系統測量,研究團隊直接觀測到兩個磁場誘導的相變:在B? = 1.45 T處,能斯特信號發生符號反轉,標志著第零朗道能級發生能隙閉合轉變;隨著磁場增強,塞貝克系數在B? = 11 T處出現峰值,表明第零朗道能級發生拓撲Lifshitz轉變。這兩次相變過程與弱拓撲絕緣體在強磁場下的理論相圖高度吻合。當磁場進一步增大至B? = 20 T以上時,HfTe?進入由第零朗道能級構成的理想一維外爾半金屬相。值得注意的是,在該相中,能斯特信號表現出與磁場無關的特性,形成一個穩定的巨大能斯特平臺,其幅值在2 K低溫下高達50 μV/K,遠超以往報道的所有反常能斯特效應數值。理論分析進一步揭示,該巨大能斯特平臺源于理想一維外爾相特有的熱電轉換機制:橫向熱電效應主要由縱向電阻主導,而非傳統機制中的橫向電阻。這一發現不僅拓展了對外爾費米子的認知,也為顯著提升熱電轉換效率開辟了新路徑。
強磁場科學中心碩士張勇和蔡佳強為論文共同第一作者;張警蕾研究員、田明亮研究員、中國科學技術大學趙鵬露副研究員及南方科技大學盧海舟教授為共同通訊作者。該項研究得到了國家重點研發計劃、國家自然科學基金、中國科學院建制化科研平臺等項目的支持。


中安在線版權所有 未經允許 請勿復制或鏡像
增值電信業務經營許可證:皖B2-20080023 信息網絡傳播視聽節目許可證:1208228 2009-2010年度全省廣告發布誠信單位